Theo thông tin có được từ Vietnamnet, tỉnh Tây Ninh có 95 bài thi được thay đổi điểm sau khi chấm phúc khảo và tất cả đều tăng, đặc biệt có bài thi tăng đến 8,75 điểm.
Cụ thể, ở môn thi trắc nghiệm, có 58 bài thi bị điểm 0 “bất thường”, sau khi chấm phúc khảo, có rất nhiều bài thi được tăng điểm, trong đó trường hợp tăng cao nhất lên đến 8,75 điểm, ít nhất là tăng từ 0 lên 2 điểm. Ngoài ra, còn có nhiều bài thi tăng từ 0 lên 7 - 7,2 - 7,5 điểm.
Môn thi tự luận là Ngữ văn cũng có 33 bài thi tăng điểm sau khi chấm phúc khảo. Mức tăng chủ yếu dao động từ 0,25 đến 0,75 điểm, bài tăng nhiều nhất là 1,75 điểm.

Có 95 bài thi của các thí sinh tỉnh Tây Ninh được tăng điểm sau khi chấm phúc khảo. Ảnh: Thanh Tùng/Vietnamnet
Theo Báo Thời Đại thì các thí sinh sau khi chấm phúc khảo có điểm thi tăng nhiều nhất bao gồm:
Nguyễn Thị Kim Thoa: Môn Giáo dục Công dân (từ 0 lên 8,75 điểm)
Lê Quyền Huy: Môn Giáo dục Công dân (từ 0 lên 8 điểm)
Võ Thị Kim Loan: Môn Toán (từ 0 lên 8 điểm).
Nguyễn Thị Thu Thảo: Môn Giáo dục công dân (từ 0 lên 8 điểm)
Lê Quang Kỳ: Môn Vật lý (từ 0 lên 8,5 điểm)
Ngoài ra, còn có nhiều thí sinh phúc khảo 3 bài thi và cả 3 bài đều tăng điểm.
Thí sinh Nguyễn Thị Thu Thảo: Môn Giáo dục công dân (từ 0 lên 8 điểm); Môn Địa (từ 0 lên 7,5 điểm); Môn Sử (từ 0 lên 5,75).
Thí sinh Lê Quang Kỳ: Môn Vật lý (từ 0 lên 8,5 điểm); Môn Hóa (từ 0 lên 5,75 điểm); Môn Sinh (từ 0 lên 6,25 điểm).



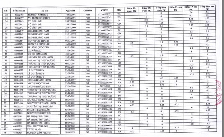
Danh sách thí sinh có thay đổi sau khi chấm phúc khảo. Ảnh: Lê Huyền/Vietnamnet
Trước đó, sau khi công bố kết quả thi THPT quốc gia 2019, Sở GD-ĐT Tây Ninh đã phát hiện 34 trường hợp bị điểm 0 ở các bài thi môn trắc nghiệm, bao gồm môn Toán 13 bài, Tiếng Anh 9 bài, tổ hợp bài thi Khoa học tự nhiên 4 bài và Khoa học xã hội 8 bài.
Cũng theo thông tin từ báo Vietnamnet, một đại diện của Sở GD-ĐT Tây Ninh cho hay, việc hàng loạt bài thi trắc nghiệm bị điểm 0 là điều “bất thường”. Đặc biệt sau khi tìm hiểu, trong số các thí sinh bị điểm 0 tại đợt công bố điểm thi vừa qua của Bộ GD-ĐT, có những em học rất giỏi.
Trong kỳ thi THPT Quốc gia năm nay, đơn vị được phân công chấm thi tại tỉnh Tây Ninh là trường Đại học Công nghệ Đồng Nai cũng đã xác nhận có phát hiện sự cố trên trong quá trình chấm thi và cũng đã tiến hành báo cáo với Bộ GD-ĐT để có hướng xử lý kịp thời, đảm bảo quyền lợi cho các thí sinh dự thi.