Cận cảnh cuộc sống

Công an công bố danh sách 1217 xe bị phạt nguội, các chủ phương tiện sau đây cần lưu ý

Trọng Nghĩa

Hai lỗi vi phạm phổ biến nhất được ghi nhận để phạt nguội là vượt đèn đỏ và vi phạm tốc độ.

Công an công bố danh sách 1217 xe bị phạt nguội, các chủ phương tiện sau đây cần lưu ý Ảnh 2

Ngày 7/1, Cổng thông tin điện tử Công an tỉnh Vĩnh Phúc đã công bố kết quả xử lý các trường hợp vi phạm được phát hiện qua Hệ thống camera giám sát giao thông phạt nguội trong khoảng thời gian từ ngày 15/12 -  31/12/2024.

Theo thông báo, từ ngày 15/12 - 31/12/2024, Công an TP Vĩnh Yên đã áp dụng hình thức xử phạt nguội đối với 1.217 trường hợp vi phạm Luật an toàn giao thông. 

Hai lỗi vi phạm phổ biến nhất được ghi nhận để phạt nguội là vượt đèn đỏ và vi phạm tốc độ.

Người dân có thể tra cứu danh sách các trường hợp bị phạt nguội thông qua đường dẫn được cung cấp. Công an cũng yêu cầu các chủ phương tiện có tên trong danh sách nhanh chóng đến Đội Cảnh sát giao thông, Công an TP Vĩnh Yên để giải quyết và nộp phạt theo quy định.

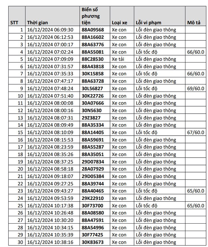
Dưới đây là một số phương tiện nằm trong danh sách xử phạt:

Công an công bố danh sách 1217 xe bị phạt nguội, các chủ phương tiện sau đây cần lưu ý Ảnh 1
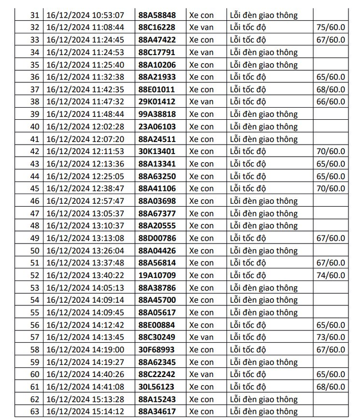
Công an công bố danh sách 1217 xe bị phạt nguội, các chủ phương tiện sau đây cần lưu ý Ảnh 2
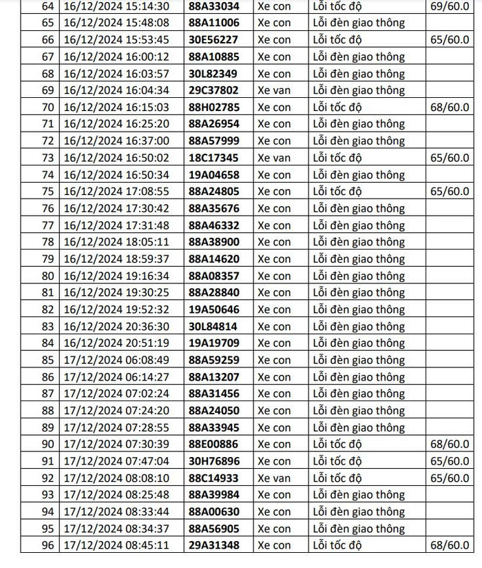
Công an công bố danh sách 1217 xe bị phạt nguội, các chủ phương tiện sau đây cần lưu ý Ảnh 3

Trên đây là một số phương tiện, để kiểm tra xem phương tiện của mình có nằm trong danh sách phạt nguội được ghi nhận qua hệ thống camera giám sát giao thông hay không, người dân có thể thực hiện theo các bước sau:

Truy cập vào cổng thông tin điện tử của Công an tỉnh Vĩnh Phúc:
Sử dụng trình duyệt web, truy cập vào địa chỉ chính thức của cổng thông tin điện tử Công an tỉnh Vĩnh Phúc.

Tìm đến mục tra cứu vi phạm:
Trên giao diện trang chủ, tìm và chọn mục liên quan đến tra cứu vi phạm giao thông hoặc phạt nguội.

Nhập thông tin phương tiện:

Nhập biển số xe của phương tiện cần kiểm tra.Điền các thông tin khác nếu hệ thống yêu cầu (như số giấy phép lái xe hoặc số khung xe).

Xem kết quả:
Sau khi nhập đầy đủ thông tin, nhấn nút "Tra cứu" để hệ thống hiển thị danh sách các lỗi vi phạm (nếu có).

Chia sẻ FacebookChia sẻ

Bài viết

Trọng Nghĩa

ĐƯỢC QUAN TÂM

TIN MỚI